Online Early version here.
The ‘bioalbedo effect’ is the accelerated melting of snow and ice due to living organisms growing on it. Life can change the colour of the snow or ice, increasing its efficiency as an absorber of solar energy and causing it to heat up. Our new paper, just accepted by Journal of Geophysical Research, uses a predictive numerical modelling approach to examine this process for algal cells growing on snow.

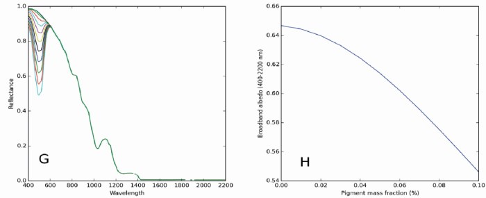
The model can be broken down into distinct parts. The first part is a mixing model for pigments that can be present in snow algal cells. The user can define the relative amounts of each pigment in the cells. The cell wall is assumed to be transparent. This then allows the absorption coefficient for each individual algal cell to be calculated.
The second part of the model scatters these cells in a layer of a hypothetical snow pack. The layer can be any thickness and does not necessarily have to be the surface layer. The amount of algae is expressed by the user in g(algae)/g(snow). The radiative transfer model TARTES has been adapted to account for our algal cells and is used to predict the bihemispheric spectral reflectance of the surface.
The albedo of the snow is then calculated using incoming solar radiation (measured or modelled, e.g. using NASA’s COART model). This can be plotted and analysed, or used to drive an energy balance model to determine how much the algae influence snow melt.

The paper shows that algae have the potential to reduce snow albedo, with the magnitude of their effect dependent upon how much algae is in the snow and how pigmented it is. It also shows that specific wavelengths of light are affected more than others by algal cells and that this could be used diagnostically, perhaps allowing us to detect algae from planes, drones or satellites. The energy balance part of the model shows that this affects how quickly the snow melts. A physical mechanism for algal acceleration of snow melt is thereby developed.
Next, we intend to develop the model so that it is applicable to melting glacier ice as well as snow. This will help us to explain the mysterious ‘dark zone’ on the Greenland ice sheet which is probably discoloured by a combination of dust, black carbon soots and algal blooms.

The model provides a framework for integrating bio-optical and radiative transfer models, demonstrates the potential for algae to melt snow and outlines some of the challenges for empirical bioalbedo measurements. There are improvements still to make to the model, but this work proves the concept that radiative transfer and energy balance modelling can be coupled, and shows how algae can change the colour of snow.